新闻消息
【新闻动态】中国团队重磅研究再登CA(IF=232.4)!总院长王洁教授团队ACROSS 2研究 解锁EGFR阳性共突变NSCLC精准治疗新方案
重磅新闻

2026年3月12日,由中国医学科学院肿瘤医院山西医院总院长王洁教授团队提出概念并发起的验证性临床研究成果在全球顶级肿瘤学术期刊《CA: A Cancer Journal for Clinicians》(影响因子 232.4)在线发表。题目为“Aumolertinib with Carboplatin-pemetrexed versus Aumolertinib for Non-small Cell Lung Cancer with EGFR and Concomitant Tumor Suppressor Genes (ACROSS 2): An open-label, multicenter, randomized Phase III study”,首次证实阿美替尼联合卡铂-培美曲塞的治疗方案可为EGFR阳性合并肿瘤抑癌基因(TSG)共突变的非小细胞肺癌(NSCLC)患者带来显著生存获益,为该类人群的个体化精准一线治疗提供了关键循证依据。
该研究基于团队前期发现的EGFR与TSG共突变肺癌患者对单一靶向治疗疗效不佳的临床关键问题开展,从概念提出、临床研究设计、患者入组及随访到研究结果发表,历时4年完成。研究为开放标签、多中心、随机Ⅲ期临床试验,共入组126例EGFR阳性合并TSG共突变的晚期非小细胞肺癌患者,聚焦临床中该类患者治疗的异质性难题,研究设计高度贴合临床诊疗实际。研究通过头对头对比阿美替尼联合卡铂-培美曲塞与阿美替尼单药的治疗效果,系统评估了联合治疗方案的有效性、安全性及治疗依从性,同时通过精准基因分层,明确了联合治疗的优势获益人群,为临床治疗决策提供了精准的生物标志物指导。
研究背景
EGFR突变在亚洲肺腺癌患者中的发生率高达40%-60%,第三代EGFR酪氨酸激酶抑制剂(TKI)如阿美替尼一线治疗可使患者中位无进展生存期(mPFS)达到18-20个月。但随着二代测序(NGS)技术的广泛应用,研究发现高达92.9%的EGFR阳性肺癌患者携带不同类型的共突变,其中以TP53为代表的TSG共突变最为常见,发生率约为55%-65%,且多项研究证实其与EGFR-TKI疗效降低及患者预后不良显著相关。尽管FLAURA2研究已证实第三代EGFR-TKI联合化疗在整体人群中可显著延长mPFS,但化疗增敏所带来的毒性负担,以及部分患者在单药治疗下即可获得长期获益的事实,提示并非所有患者均需要强化治疗。为实现精准治疗、明确真正获益人群,王洁教授团队设计并开展了两项III期研究:ACROSS 1针对合并非EGFR驱动基因共突变人群,ACROSS 2聚焦EGFR阳性合并TSG共突变人群,旨在明确联合化疗是否能够克服TSG共突变带来的不良预后,为精细化EGFR突变NSCLC的一线治疗策略提供关键循证依据。
研究结果
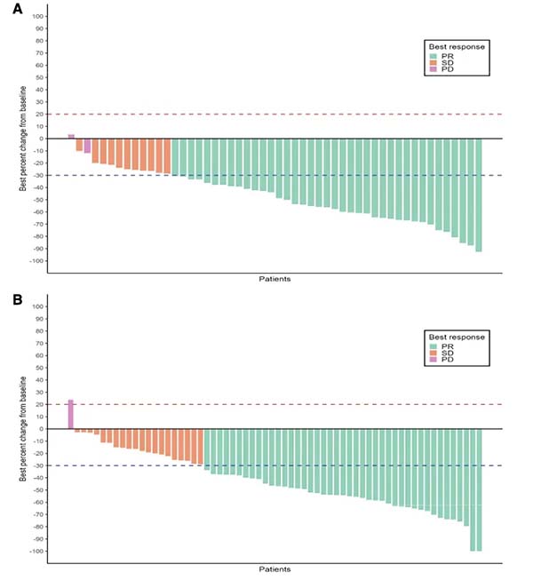
研究结果显示,阿美替尼联合卡铂-培美曲塞的联合治疗方案实现了疗效提升且安全性可控的临床目标,为EGFR阳性共突变非小细胞肺癌患者提供了新的治疗选择。在疗效方面,ITT人群中,联合治疗显著改善了总体人群的中位无进展生存期(mPFS),较单药治疗延长3.25个月(19.78个月vs.16.53个月),疾病进展或死亡风险降低42%(分层HR 0.58,95% CI:0.34–0.97);联合治疗组在12、18、24个月的无进展生存期(PFS)率分别为 78.7%、67.2%、41.0%,均显著高于单药治疗组的65.3%、40.8% 和 29.9%,且在大多数预设亚组中均可观察到联合治疗的一致获益趋势。FAS人群中,联合治疗组的客观缓解率(ORR)为72.2%(95% CI:59.1–82.3),高于单药治疗组的67.2%(95% CI:55.0–77.4);联合治疗组的疾病控制率(DCR)为92.6%(95% CI:82.5–97.1),单药治疗组为98.3%(95% CI:91.7–99.7)。
研究还通过精准分层,识别出阿美替尼联合卡铂-培美曲塞的潜在优势获益人群,为临床筛选适合联合化疗的患者提供了重要的生物标志物依据。其中,TP53突变亚组(n=110)患者为联合治疗的显著获益人群,联合治疗组mPFS达 18.69个月,显著长于单药治疗组的16.30个月(HR 0.55,95% CI:0.32–0.95);仅携带TP53突变的患者获益更为显著(HR 0.50,95% CI:0.26–0.95)。基线无中枢神经系统(CNS)转移、EGFR 19外显子缺失的患者,从联合治疗中呈现出显著的生存获益趋势;TP53突变伴除视网膜母细胞瘤基因(RB1)外其他TSG改变的患者(n=90),同样能从联合治疗中获得显著的mPFS改善(HR 0.50,95% CI:0.27–0.94)。与之相对,非TP53突变亚组、TP53合并至少一个其他TSG突变亚组,以及同时存在TP53和RB1突变的患者(n=20),未观察到联合治疗带来的PFS获益。

在治疗依从性与安全性方面,该联合治疗方案表现出良好的治疗依从性和可控的安全性,未观察到新的安全性信号。治疗完成情况上,79.6%的患者完成了至少4个周期的卡铂化疗,培美曲塞维持治疗的中位周期数为9个周期。安全性分析显示,接受阿美替尼联合卡铂-培美曲塞治疗的患者中,治疗相关不良事件(TRAE)的总体发生率为90.7%,阿美替尼单药治疗组为75.0%;≥3级不良事件的发生率在联合治疗组为25.9%(14/54),单药治疗组为17.2%(11/64),研究中未观察到药物相关死亡事件。因TRAE导致任何研究药物停药的患者比例,联合治疗组为11.1%(6/54),单药治疗组为3.1%(2/64)。联合治疗组中发生的不良事件以化疗相关的血液学毒性为主,发生率≥20%的TRAE中,贫血最为常见(57.4% vs. 9.4%),其次为白细胞计数降低以及AST和ALT升高。
此次ACROSS 2研究成果的发布,具有重要的临床意义。该方案为EGFR阳性合并TSG共突变这一难治性NSCLC人群提供了优化的一线强化治疗方案,同时将基因分层系统性整合到EGFR突变NSCLC的一线治疗决策中,建立了标志物指导下的晚期NSCLC适应性治疗新范式。研究证实了靶向治疗与细胞毒性治疗的协同应用价值,能有效应对EGFR突变NSCLC所呈现的基因组复杂性,也为建立前瞻性的分子分诊流程奠定了重要基础,有助于在优化治疗获益的同时,减少患者不必要的化疗暴露。值得注意的是,该精准治疗策略在常规临床实践中的推广实施,高度依赖于广泛、规范的多基因NGS检测作为前提。
该研究立足中国肺癌人群开展精准临床探索,结果高度贴合国内临床诊疗实际,直击EGFR阳性共突变患者治疗的核心临床难题,为后续探索更多肺癌精准治疗联合方案奠定了坚实基础,也进一步验证了基于生物标志物的分层治疗是肺癌治疗领域的重要发展方向。研究同时明确,EGFR阳性NSCLC的共突变问题是影响靶向治疗疗效的关键因素,通过精准的基因分层和前瞻性临床研究,能够精准定位联合化疗的优势获益人群,实现肺癌诊疗“精准筛选、精准治疗”的核心目标,为临床诊疗实践提供了高价值的指导依据。

王洁教授团队长期深耕肺癌的前沿研究与临床转化。此次ACROSS 2研究登上国际肿瘤学期刊,是团队在EGFR阳性肺癌精准治疗领域的重要突破,体现了我国在肺癌临床研究领域的学科实力与创新能力。未来,团队将继续以临床需求为导向,加强前沿研究与临床转化的深度融合,推动更多肺癌精准治疗方案的研发与应用,为肺癌患者提供更优质、更先进的诊疗策略。
医院地址
山西省太原市杏花岭区职工新村3号






晋公网安备14010702074528